IPB

Здравствуйте, гость ( Вход | Регистрация )

Кто поможет решить математику)))


MadPwnz
Ваше звание
Иконка группы
Группа: Пользователи
Сообщений: 3938
Регистрация: 10.8.2009
Пользователь №: 1022



Сообщение #1 сообщение 23.11.2014, 18:14
Собственно все в теме, кто тут остался умный?
Буду признателен, кто возьмется, там и договоримся.
Скоро сдавать, а я и забыл.
Прикрепленные файлы
Прикрепленный файл  ___1.2.doc ( 36 килобайт ) Кол-во скачиваний: 362
Прикрепленный файл  ___1.1.doc ( 64.5 килобайт ) Кол-во скачиваний: 151
Прикрепленный файл  ___1.3.doc ( 57 килобайт ) Кол-во скачиваний: 2442
 
Перейти в начало страницы
+Цитировать сообщение
2 страниц V   1 2 >  
Начать новую тему
Ответов (1 - 21)
iks
Ваше звание
Иконка группы
Группа: Пользователи
Сообщений: 1676
Регистрация: 30.6.2011
Из: Верхняя Салда
Пользователь №: 3586



Сообщение #2 сообщение 23.11.2014, 21:51
Цитата(MadPwnz @ 23.11.2014, 19:14) *
Собственно все в теме, кто тут остался умный?
Буду признателен, кто возьмется, там и договоримся.
Скоро сдавать, а я и забыл.

я при помощи этого калькулятора решала, посмотрите может поможет http://ru.onlinemschool.com/math/assistance/


--------------------
не говорите мне что делать и я не скажу куда вам идти
Перейти в начало страницы
+Цитировать сообщение
volkov
no avatar
ёжик-колxозник
Иконка группы
Группа: Пользователи
Сообщений: 6379
Регистрация: 25.10.2008
Из: Слоним
Пользователь №: 104



Сообщение #3 сообщение 24.11.2014, 0:14
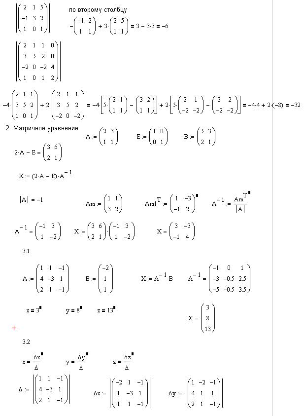
5 вариант, 1.1-1.3
продолжаем?
Эскизы прикрепленных изображений
Прикрепленное изображение
 
Перейти в начало страницы
+Цитировать сообщение
volkov
no avatar
ёжик-колxозник
Иконка группы
Группа: Пользователи
Сообщений: 6379
Регистрация: 25.10.2008
Из: Слоним
Пользователь №: 104



Сообщение #4 сообщение 24.11.2014, 0:23
2

Эскизы прикрепленных изображений
Прикрепленное изображение
 
Перейти в начало страницы
+Цитировать сообщение
volkov
no avatar
ёжик-колxозник
Иконка группы
Группа: Пользователи
Сообщений: 6379
Регистрация: 25.10.2008
Из: Слоним
Пользователь №: 104



Сообщение #5 сообщение 24.11.2014, 0:48
3

Сообщение отредактировал volkov - 24.11.2014, 0:51
Эскизы прикрепленных изображений
Прикрепленное изображение
 
Перейти в начало страницы
+Цитировать сообщение
volkov
no avatar
ёжик-колxозник
Иконка группы
Группа: Пользователи
Сообщений: 6379
Регистрация: 25.10.2008
Из: Слоним
Пользователь №: 104



Сообщение #6 сообщение 24.11.2014, 1:09
4

Эскизы прикрепленных изображений
Прикрепленное изображение
 
Перейти в начало страницы
+Цитировать сообщение
volkov
no avatar
ёжик-колxозник
Иконка группы
Группа: Пользователи
Сообщений: 6379
Регистрация: 25.10.2008
Из: Слоним
Пользователь №: 104



Сообщение #7 сообщение 24.11.2014, 1:11
с вас 250 рублей. остальное после оплаты, если хотите. оплату несите в универ, на вахте оставьте, скажите, чтобы мне передали. или ищите меня с 10 до 15 в техе, после 15 в универе. ежедневно

Сообщение отредактировал volkov - 24.11.2014, 1:12
Перейти в начало страницы
+Цитировать сообщение
MadPwnz
Ваше звание
Иконка группы
Группа: Пользователи
Сообщений: 3938
Регистрация: 10.8.2009
Пользователь №: 1022



Сообщение #8 сообщение 24.11.2014, 18:03
Будет сделано!)
Перейти в начало страницы
+Цитировать сообщение
volkov
no avatar
ёжик-колxозник
Иконка группы
Группа: Пользователи
Сообщений: 6379
Регистрация: 25.10.2008
Из: Слоним
Пользователь №: 104



Сообщение #9 сообщение 25.11.2014, 1:02
1_1. первые 4 задания, вторые 4 завтра. Вам всё равно придётся меня искать, чтобы я сделал пояснения.

Сообщение отредактировал volkov - 25.11.2014, 1:04
Эскизы прикрепленных изображений
Прикрепленное изображение
Прикрепленное изображение
Прикрепленное изображение
 
Перейти в начало страницы
+Цитировать сообщение
MadPwnz
Ваше звание
Иконка группы
Группа: Пользователи
Сообщений: 3938
Регистрация: 10.8.2009
Пользователь №: 1022



Сообщение #10 сообщение 25.11.2014, 17:11
Какой там у вас с Виталием кабинет? 309?
Перейти в начало страницы
+Цитировать сообщение
volkov
no avatar
ёжик-колxозник
Иконка группы
Группа: Пользователи
Сообщений: 6379
Регистрация: 25.10.2008
Из: Слоним
Пользователь №: 104



Сообщение #11 сообщение 25.11.2014, 17:23
1_1
5
Эскизы прикрепленных изображений
Прикрепленное изображение
Прикрепленное изображение
 
Перейти в начало страницы
+Цитировать сообщение
volkov
no avatar
ёжик-колxозник
Иконка группы
Группа: Пользователи
Сообщений: 6379
Регистрация: 25.10.2008
Из: Слоним
Пользователь №: 104



Сообщение #12 сообщение 25.11.2014, 17:42
1_1
6
Эскизы прикрепленных изображений
Прикрепленное изображение
 
Перейти в начало страницы
+Цитировать сообщение
MadPwnz
Ваше звание
Иконка группы
Группа: Пользователи
Сообщений: 3938
Регистрация: 10.8.2009
Пользователь №: 1022



Сообщение #13 сообщение 25.11.2014, 17:50
Надо к вам зайти, ибо нифига не понял
Перейти в начало страницы
+Цитировать сообщение
volkov
no avatar
ёжик-колxозник
Иконка группы
Группа: Пользователи
Сообщений: 6379
Регистрация: 25.10.2008
Из: Слоним
Пользователь №: 104



Сообщение #14 сообщение 25.11.2014, 18:54
1_1
7
за (1_1) 500 рублей.

Сообщение отредактировал volkov - 25.11.2014, 18:55
Эскизы прикрепленных изображений
Прикрепленное изображение
 
Перейти в начало страницы
+Цитировать сообщение
volkov
no avatar
ёжик-колxозник
Иконка группы
Группа: Пользователи
Сообщений: 6379
Регистрация: 25.10.2008
Из: Слоним
Пользователь №: 104



Сообщение #15 сообщение 25.11.2014, 18:56
Цитата(MadPwnz @ 25.11.2014, 17:50) *
Надо к вам зайти, ибо нифига не понял

консультация - 1 час 300 рублей. я не нанимался заниматься вашим незнанием. В заданиях сказано: решить. а не объяснить, как решено.

Сообщение отредактировал volkov - 25.11.2014, 18:58
Перейти в начало страницы
+Цитировать сообщение
MadPwnz
Ваше звание
Иконка группы
Группа: Пользователи
Сообщений: 3938
Регистрация: 10.8.2009
Пользователь №: 1022



Сообщение #16 сообщение 25.11.2014, 19:14
8 будет?
Перейти в начало страницы
+Цитировать сообщение
volkov
no avatar
ёжик-колxозник
Иконка группы
Группа: Пользователи
Сообщений: 6379
Регистрация: 25.10.2008
Из: Слоним
Пользователь №: 104



Сообщение #17 сообщение 25.11.2014, 21:08
после оплаты
Перейти в начало страницы
+Цитировать сообщение
volkov
no avatar
ёжик-колxозник
Иконка группы
Группа: Пользователи
Сообщений: 6379
Регистрация: 25.10.2008
Из: Слоним
Пользователь №: 104



Сообщение #18 сообщение 26.11.2014, 0:29
8
Эскизы прикрепленных изображений
Прикрепленное изображение
 
Перейти в начало страницы
+Цитировать сообщение
MadPwnz
Ваше звание
Иконка группы
Группа: Пользователи
Сообщений: 3938
Регистрация: 10.8.2009
Пользователь №: 1022



Сообщение #19 сообщение 26.11.2014, 18:18
1.3?
Перейти в начало страницы
+Цитировать сообщение
@in1
no avatar
goretz
Иконка группы
Группа: Пользователи
Сообщений: 3993
Регистрация: 22.2.2014
Из: Область-город
Пользователь №: 17152



Сообщение #20 сообщение 26.12.2014, 9:47
Каждый второй выпускник не мог решить элементарный пример.Ytro.ru
Перейти в начало страницы
+Цитировать сообщение
volkov
no avatar
ёжик-колxозник
Иконка группы
Группа: Пользователи
Сообщений: 6379
Регистрация: 25.10.2008
Из: Слоним
Пользователь №: 104



Сообщение #21 сообщение 26.12.2014, 11:48
Каждый второй выпускник смог решить элементарный пример-и это радует.
Перейти в начало страницы
+Цитировать сообщение
Шайтан
no avatar
Ежик зашедший
Иконка группы
Группа: Пользователи
Сообщений: 9
Регистрация: 28.2.2015
Пользователь №: 23162



Сообщение #22 сообщение 24.3.2015, 16:03
Цитата(volkov @ 24.11.2014, 1:11) *
с вас 250 рублей. остальное после оплаты, если хотите. оплату несите в универ, на вахте оставьте, скажите, чтобы мне передали. или ищите меня с 10 до 15 в техе, после 15 в универе. ежедневно
Че как барыга то парень не знает че и как тут
Перейти в начало страницы
+Цитировать сообщение

2 страниц V   1 2 >
Ответить в данную темуНачать новую тему
1 чел. читают эту тему (гостей: 1, скрытых пользователей: 0)
Пользователей: 0

 



Текстовая версия Сейчас: 30.4.2026, 11:36